Det kom en radda Kina data i natt som var ganska inline totalt sett. Börserna verkar inte ha reagerat nämnvärt!
China PPI kom in ppå -2,8% YoY mot väntat -2,7 och fg -3,6… inline. Fortfarande är pristrycket negativt, men det har klart bottnat ur i styrka
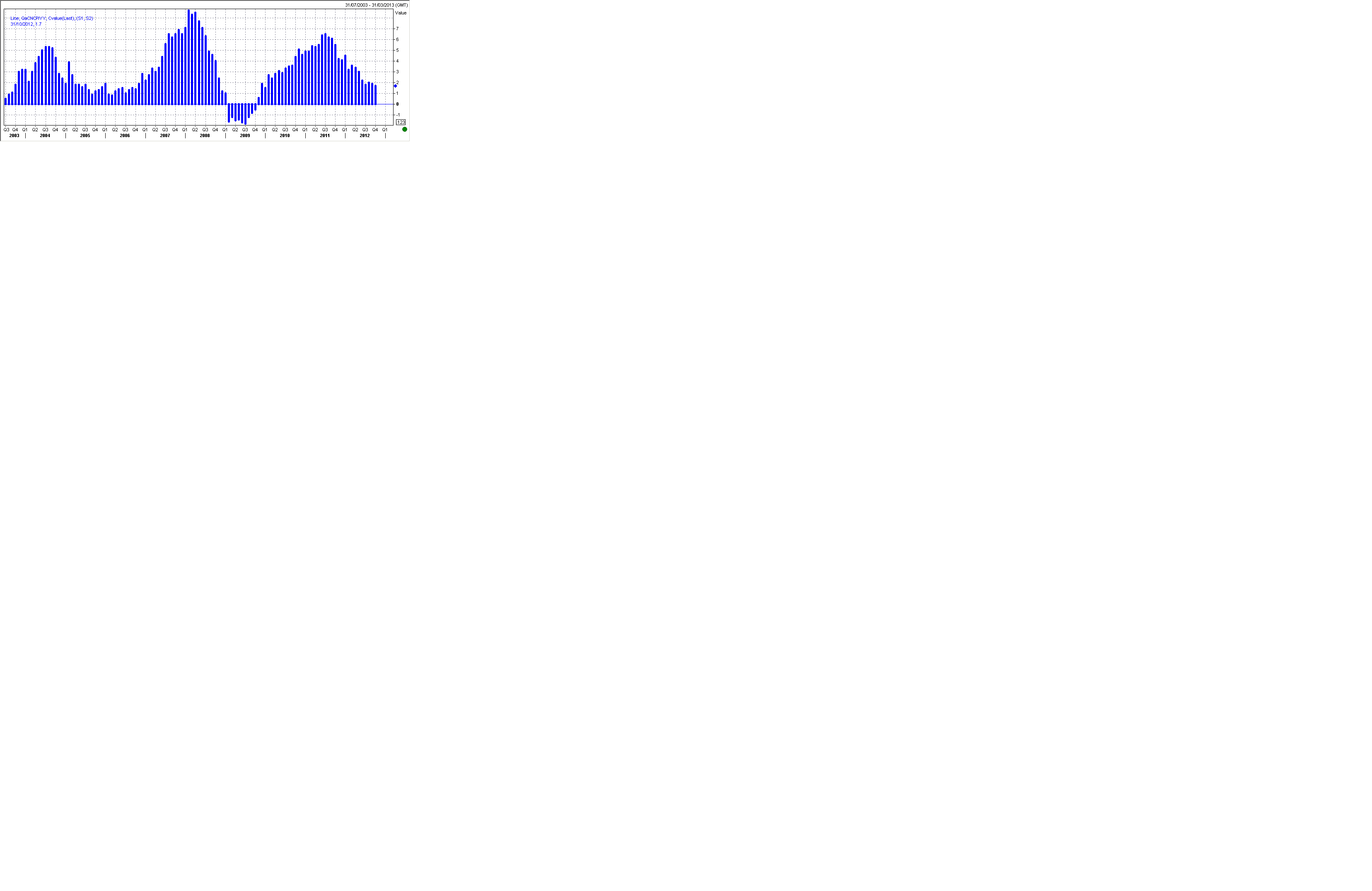
China CPI kom in på 1,7% YoY mot väntat 1,9 och fg 1,9… ganska inline med fg månader. Avvikelsen berodde på något lägre livsmedelspriser. Det verkar som om inflationtakten har stannat av här kring 1,5-2%. Det borde göra de nya makthavarna ganska så tillfredställda.
FAI kom in på 20,7% YoY mot väntat 20,6 och fg 20,5… inline och stabilt. Framförallt är det järnvägsinvesteringarna som håller uppe siffrorna.
IP kom in på 9,6% YoY mot väntat 9,4 och fg 9,2… ganska inline, och i absoluta termer lite för klent.
Retail sales kom in på 14,5% YoY mot väntat 14,3 och fg 14,2…. inline och rätt stabilt, men även den är på en något för låg nivå för att ”C” komponenten i BNP ska växa i andel.
CPI YoY%

I eftermiddag kommer prel Michigan.. man väntar sig 83 mot fg 82,6.
Rent tekniskt fintade Svenska börsen häromdagen, och det var nästan så att man trodde på en kort köpsignal i OMX, men efter US valet vänder marknaden ner, och rörelsen vi såg i onsdags var rent tekniskt väldigt svag. Det handlar om att marknaden INTE förväntar sig tuffa budgetåtstramningar i USA, och för första gången fick marknaden lite frossa över att det kanske ändå inte kommer gå så friktionsfritt man hoppas och faktiskt väntar sig. Det är ju faktiskt politiker vi har att göra med!!! Jag väntar mig en hyfsat rangebound marknad härifrån i intervallet 1029-1084….. och det handlar också om att jag tror bägge sidor kommer komma med en lösning fem i tolv. Just för att båda vet att det behövs för att den svaga ekonomin inte ska falla över i recession. Bryter vi ner under 1029 så är det marknadens sätt att tala om för oss att man inte tror på en smooth lösning. Därmed inte sagt att marknaden kommer att få rätt! Det finns även frustration i marknaden över att Spanien inte ber om hjälp. Spanien har en hel del auctions fram till årsskiftet, och jag undrar om de är nöjda med räntan som de kommer att få betala? Enkelt uttryck kan man säga att de väljer mellan att 1, betala lite högre ränta, men samtidigt inte blil påtvingad mer austerity och släppa inflytande över de egna finanserna alt 2, betala en väsentligt lägre ränta (om ESM fungerar som den ska) men samtidigt släppa inflytande och troligtvis ta på sig ännu mer austerity. Lite som pest eller kolera 🙂 För att nå mitt target på 1183 så krävs troligtvis klarhet från Spanien och kommande budgetåtstramningar…. där är vi uppenbarligen inte än!
Trevlig helg!
