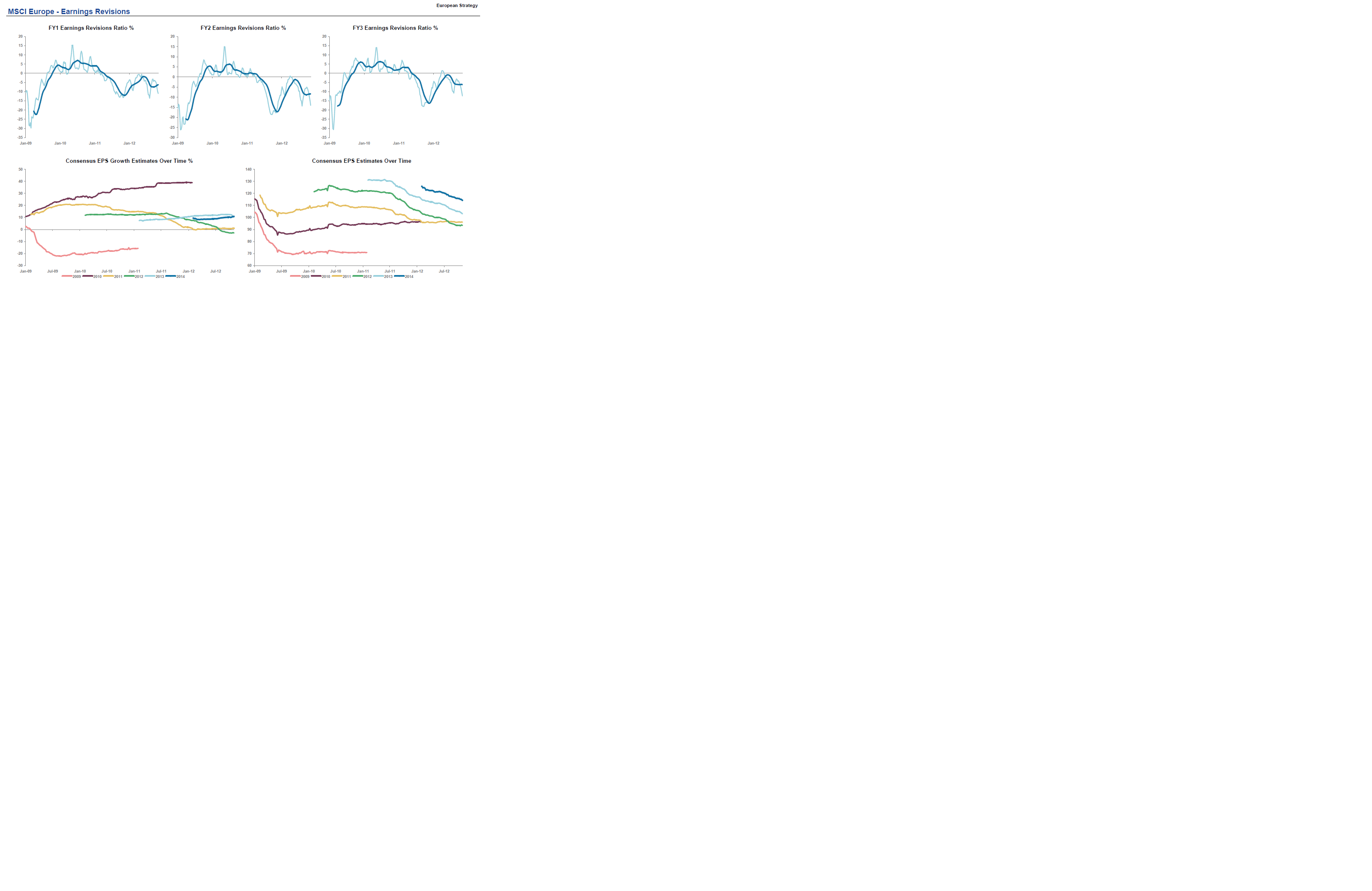
Nedan chart visar earningsrevisions för Sverige. För att summera något. Nedrevideringarna i förhållande till upprevideringarna hart stått som spön i backen efter Q2 men även Q3.
Under sommaren 2011 väntade man sig 0% vinsttillväxt för 2011, men efter turbulensen under hösten började den revideras ner och vinsterna blev negativa för helåret. När vi stod i början av 2012 så trodde man att 2012 skulle bjuda på ca 10 vinsttillväxt jmf med 2011 resultat. I skrivande stund ligger den förväntningen på +4%. Alltså nedrevideringar! Vad tror man om 2013, tja idag tror man på ca 11% vinsttillväxt nästa år… dvs ungefär samma som man trodde om 11 och 12 vid samma period. Frågan är om vi ligger på 0% vinsttillväxt för 2013 när vi sitter och tittar på marknaden i november nästa år…. då lär marknaden under 13e inte gått särskilt bra!!!
Men låt säga analytikerna får rätt!! Hur kan man tänka? Tja, klassikern Vinsttillväxt+Utdelning+multipelförändring = Potentiell börsutveckling kan ju vara värd att titta på;
Vinttillväxt: 11%
Utdelning: 3%
Multipelexpansion: ca 15% (fwdPE går från ca 13 till 15)
29%…. OMXs30 1348…. det hade ju varit trevligt 🙂
Men man kan baissa också
Vinsttillväxt: -10%
Utd; 3%
Multipelcontraction; -25 (fwd PE går från 16 till 12)
Totalt -32% OMXs30 710
Europa påminner om Sverige bortsett från att man nu tror på negativ vinsttillväxt under 2012 jmf 2011… men fortsatt 10 tillväxt nästa år!



Jag vill fråga Dig följande:
När en villaägare i Sverige inte kan betala sina räntor då sätts huset på exekutiv auktion. Villaägaren har kvar en stor skuld till banken. Ofta livslångt.
Hur fungerar det i Spanien och i USA? Jag har fått för mig, att det i dessa länder är banken, som övertager huset. Villaägaren i USA har ingen skuld kvar till banken. Hur fungerar det i Spanien??
Tacksam för svar.
M V H
Bra fråga!
I spanien vet jag inte, skulle tro det fungerar som i sverige. I usa däremot fungerar det som du beskrev det, fast under de senaste åren krävde bankerna, för att du skulle få lån, att man var personligt ansvarig för lånet, och inte som tidigare att lånet var kopplat till huset