Industriproduktionen i EZ för sep kom precis!
IP kom in på -2,5% MoM mot väntat -1,9 och fg +0,9…. den sämsta månadssiffran sedan jan 2009…
men jag skulle inte gjort för stor sak av detta
YoY% så blev siffran -2,3% mot väntat -2,3 och fg -1,3… inline
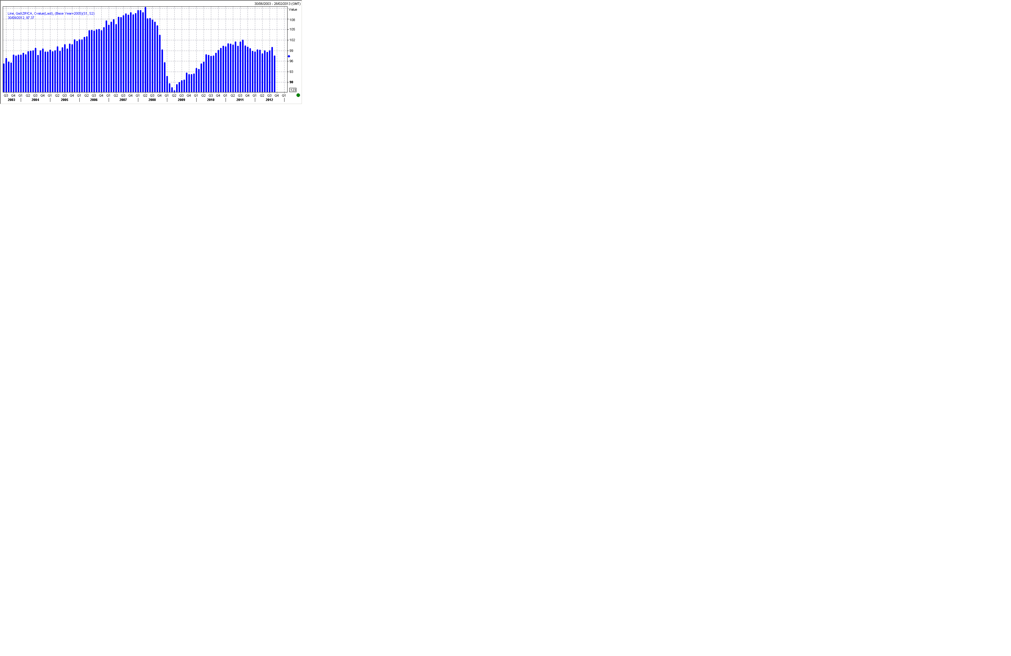
Ser man till YoY% är det svagt men inte som 08/09

och även om man tittar på IP i absoluta termer så förstår man att läget är inte den tvärbroms vi såg 08/09
Nu precis kom US PPI som beskriver priserna i produktionsledet…. och som kan sägas ha en viss ledande effekt på CPI…
US core PPI kom in på 2,1% YoY mot väntat 2,5 och fg 2,3…. känns som att pristakten inte är på väg någonstans utan stannat av vid låga nivåer.
Sen kom detaljhandelsdata
US Retail sales kom in på -0,3% MoM mot väntat -0,2 och fg +1,3.. svagt.
Tittar man på YoY så ligger den på 3,8% mot fg 5,4%.
Ex-autos kom in på 0,0% MoM mot väntat 0,2 och fg 1,2… svagt även där
Tittar man alltså på månadssiffran så avviker den inte jättemycket, men tittar man på YoY siffran så låg detaljhandeln under 4% vilket tillhör ovanligheterna sedan post crisis. Med tanke på US BNP består till 70% av privatkonsumtion så är det frågan om detta inte leder till viss nedrevidering? Även med hänsyn till den starka consumer confidence datan vi sett på sistone så finns risken att marknaden inte väntar sig att Retail ska försvagas…. Siffran är ingen ko på isen, men jag ser helst att US Retail sales ligger på minst 5% i årstakt, för att recoveryn ska kännas någorlunda genuin.


